Skip to main content

Amazon Step Functions

Getting Started with Amazon Step Functions

What is Amazon Step Functions?

Amazon Step Functions lets you add resilient workflow automation to your applications in minutes—without writing code. Workflows built with Step Functions include built-in error handling, parameter passing, recommended security settings, and state management, reducing the amount of code you have to write and maintain.  

Ready to get started? Follow the walkthroughs in the console or our Developer Guide for step-by-step instructions on using Amazon Step Functions to create a simple state machine.

Core concepts

Amazon Step Functions lets you coordinate individual tasks into a visual workflow, so you can build and update apps quickly.

Missing alt text value

The workflows you build with Step Functions are called state machines, and each step of your workflow is called a state.

Missing alt text value

Tasks perform work, either by coordinating another Amazon Web Services service or an application that you can host basically anywhere.

Missing alt text value

Pass states pass their input as output to the next state. You can also delay execution when you need to using wait states.

Missing alt text value

Parallel states begin multiple branches of execution at the same time, such as running multiple Lambda functions at once.

Missing alt text value

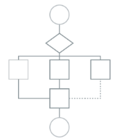
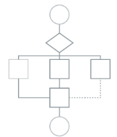
Choice states add branching logic to your state machine, and make decisions based on their input.

Missing alt text value

When you execute your state machine, each move from one state to the next is called a state transition.

Missing alt text value

You can reuse components, easily edit the sequence of steps or swap out the code called by task states as your needs change.

Missing alt text value

That's it! You're now familiar with the core concepts of Step Functions. Why not create your first state machine?

Missing alt text value Create your first state machine

Tutorials

Creating a Lambda State Machine

10 MINUTES

In this tutorial you'll create an Amazon Step Functions state machine that uses a Amazon Lambda function to implement a Task state. A Task state is a simple state that performs a single unit of work.

IAM, Lambda, Step Functions

Learn more

Creating an Activity State Machine

10 MINUTES

You can coordinate task code in your state machine. This tutorial introduces you to creating an activity-based state machine using Java and Amazon Step Functions.

IAM, Java SDK, Step Functions

Learn more

Handling Errors Using a State Machine

10 MINUTES

In this tutorial, you create an Amazon Step Functions state machine with a Catch field which uses an Amazon Lambda function to respond with conditional logic based on error message type.

IAM, Lambda, Step Functions

Learn more

Explore other Amazon Step Functions Tutorials

Discover more Amazon Step Functions resources